Kalkulator impedancji

Kalkulator impedancji

Ten kalkulator pozwala obliczyć charakterystyczną impedancję Z₀ oraz propagację sygnału (opóźnienie) dla ścieżki mikrofalowej na płytce PCB.
Dzięki niemu projektanci PCB mogą dokładniej dopasować linię transmisyjną do wymagań układu RF i uniknąć problemów z odbiciami sygnału.

m
m

Wzory używane w kalkulatorze

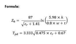
Z₀ i εeff obliczane są przy użyciu formuł Hammerstadta, uwzględniających korekcję grubości ścieżki (Wheeler-style) i efekty dielektryczne:


Opóźnienie propagacji (TD) przeliczane jest na ps/inch z uwzględnieniem korekt empirycznych.

Jak interpretować wyniki

Z₀: charakterystyczna impedancja pojedynczej linii transmisyjnej, istotna dla dopasowania impedancyjnego.
Propagation Delay: czas potrzebny sygnałowi do przebycia jednego cala ścieżki mikrofalowej, wyrażony w ps/inch.
Wartości te pomagają zminimalizować odbicia i straty w sygnale.

Przykłady zastosowania

  • Projektowanie linii mikrofalowych w układach RF i mikrofali,
  • Dopasowanie impedancji między ścieżką a elementami układu (np. złączami SMA, kondensatorami RF),
  • Symulacje i optymalizacja PCB dla szybkich sygnałów cyfrowych i analogowych,
  • Szkolenia i eksperymenty edukacyjne w dziedzinie mikrofal i elektroniki wysokiej częstotliwości.

Wskazówki i porady

  • Używaj rzeczywistych wartości grubości ścieżki i dielektryka, aby wyniki były precyzyjne.
  • Sprawdź zgodność jednostek (mils, mm, cal), aby uniknąć błędów przy konwersji.
  • Pamiętaj, że wzory zawierają korekty empiryczne, więc wyniki są zoptymalizowane pod kątem praktycznych projektów PCB.

Znaczenie wyników

Poprawnie obliczona impedancja i opóźnienie pozwalają zminimalizować straty sygnału i zakłócenia w układach RF.
Dzięki kalkulatorowi projektant może świadomie dobierać szerokość ścieżki i grubość dielektryka, aby osiągnąć optymalną jakość transmisji.